I’m teaching Graduate Algebra this semester, and I wanted to record here the proof I gave in class of the (existence part of the) structure theorem for finitely generated modules over a PID. It’s a standard argument, based on the existence of the Smith Normal Form for a matrix with entries in a PID, but it’s surprisingly hard to find a concise and accessible reference.
We assume familiarity with basic definitions in the theory of modules over a (commutative) ring. Our goal is to prove the following:
Theorem: Let
be a principal ideal domain and let
be a finitely generated
-module. Then
is isomorphic to a direct sum of cyclic
-modules. More precisely, there are a non-negative integer
(called the rank of
) and elements
(called the invariant factors of
) such that
for all
and
.
Remark: The rank of is uniquely determined, and the invariant factors of
are uniquely determined up to multiplication by a unit. There are many references for this uniqueness assertion, see for example Section 12.1 in Dummit and Foote’s “Abstract Algebra”. Alternatively, see my next blog post on Fitting ideals for a proof of a more general assertion.
The proof of the theorem will use the following two results, which will be established later:
Proposition 1: Let
be a PID and let
be a finitely generated free
-module of rank
(i.e.,
). Then any
-submodule of
is free of rank at most
.
Proposition 2: Let
be a PID, let
be nonnegative integers, and let
be an
matrix with entries in
. Then there exist an invertible
matrix
and an invertible
matrix
, both with coefficients in
, such that
is in Smith Normal Form. (This means that the last
rows of
are zero, and the square submatrix given by the first
rows is diagonal, with diagonal entries (from top left to bottom right)
such that
for all
. By abuse of terminology, we call
the invariant factors of
.)
Assuming these two results, we show how to prove the main theorem.
Proof of the Theorem: Suppose is generated by
. Then the map
given by
is a surjective $R$-module homomorphism, hence (by the first isomorphism theorem)
for some
-submodule
of
. By Proposition 1,
is free of rank
, i.e.,
.
Let be an ordered basis for
and let
be an ordered basis for
. Write
with
. Let
be the Smith Normal Form of
, and let
be the invariant factors of
. Then there exist ordered bases
for
and
for
(corresponding to the change-of-basis matrices
and
, respectively) such that
for
(exercise).
In other words, we have
But this latter quotient module is easily verified to be isomorphic to Q.E.D.
Proof of Proposition 1: Without loss of generality we may assume that . The proof is by induction on
.
The case is true because then
and
is an ideal in
, which is principal since
is a PID. Thus
for some
. If
then
is free of rank zero, and if
then the map
given by
is an
-module isomorphism (since
is a domain), so
is free of rank 1.
For the inductive step, let be the
-module homomorphism given by projection onto the last coordinate. Then
is isomorphic to
. If
is a submodule of
, we define
. By induction,
is free of rank at most
.
In addition, is an ideal of
, hence
for some
. Choose
with
and let
. If
then
and we’re done. So we may assume, without loss of generality, that
.
Claim: .
Given the claim, it follows (since is free of rank at most
and
is free of rank 1) that
is free of rank at most
, which proves the theorem.
To prove the claim, it suffices to show that (a) and (b)
. For (a), let
and choose
such that
. Then
, hence
. Thus
with
and
, proving (a). For (b), apply
to some element
. Since
we have
. On the other hand, since
we have
for some
, and then
. Thus
, which implies (since
is a domain) that
, and thus
. Q.E.D.
Proof of Proposition 2: Recalling that every PID is a UFD, define the “length” function by setting
and
iff
with
and
non-zero prime (= irreducible) elements of
. In particular,
iff
is a unit. It is easy to see, by unique factorization, that for all
we have:
(1) If then
.
(2) If and
then
and
are associate, i.e., they differ by multiplication by some unit.
We say that two matrices
with entries in
are equivalent if there exist
as above with
.
We proceed by induction on . The case
is trivial, and we may assume without loss of generality that
. Let
be a matrix equivalent to
such that
is minimal among all matrices equivalent to
.
If we swap two rows, or two columns, of any matrix we obtain an equivalent matrix (exercise). It follows easily that for all
.
Claim 1: for all
.
By swapping columns as needed, it suffices to prove that . Let
be a generator for the ideal generated by
and
. Then there exist
such that
. If
and
with
then
.
Define , where
is the following matrix:

(Note that is invertible, since its determinant is
.)
Then is equivalent to
and
. By the definition of
, we must have
. But also
, so that
by (1) above. So
, hence by (2)
and
are associate. But then
as desired, proving Claim 1.
By a similar argument using left-multiplication by a suitable matrix
instead of right-multiplication by
, we obtain
for all
(exercise).
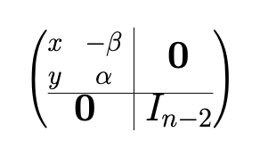
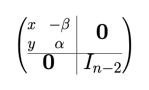
By performing elementary row and column operations (which yield equivalent matrices), we arrive at a matrix equivalent to
which has all entries in the first row and first column equal to zero, except for the upper-left entry which is equal to
.
Let be the
matrix obtained from
by removing the first row and first column. By induction on
,
has a Smith Normal Form with diagonal entries
such that
for all
.
Claim 2: .
To see this, add the second row of to the first row. The resulting matrix is equivalent to
and its first two entries are
and
. Applying the proof of Claim 1 (and recalling that
) gives
, proving Claim 2.
Proposition 2 now follows, since Claim 2 implies that the matrix given by replacing the block
inside
with its Smith Normal Form is itself in Smith Normal Form. Q.E.D.
Concluding remarks
(1) One can prove the main theorem without Proposition 1 by first showing instead that if is a noetherian ring (e.g., a PID) then any submodule of a finitely generated module is finitely presented. This implies that for any finitely generated
-module
, there is an
matrix
with coefficients in
such that
is isomorphic to
. The rest of the proof now proceeds more or less as above, with the only differences being that the matrix
no longer necessarily has rank
and we don’t know that
(but these facts are not really crucial in the above argument).
(2) If is a Euclidean domain (which implies that
is a PID, but not conversely), we can get any
matrix
as above into Smith Normal Form using just elementary row and column operations. To see this, imitate the proof above but use the Euclidean norm
in place of the length function
. In our proof of Claim 1, we had to right-multiply by
, which doesn’t correspond in general to an elementary column operation. However, if
is Euclidean then we can instead write
with
or
. If we add
times column 1 of
to column 2 and then swap columns 1 and 2, we obtain a matrix equivalent to
whose upper-left entry is
. This contradicts the choice of
unless
, which means that
as claimed. (An example of a PID which is not a Euclidean domain is
, see e.g. this paper.) Note that this proof can easily be turned into an algorithm for computing the Smith Normal Form of a matrix over a Euclidean domain.
(3) The idea behind the proof of uniqueness of the rank and invariant factors given in Dummit and Foote is as follows. The rank of can be recovered as the maximal number of
-linearly independent elements of
. By the Chinese Remainder Theorem, if
in
with the
distinct nonzero prime elements, then
Thus we can write
as a direct sum of
and some number of cyclic
-modules, each isomorphic to
for some
and some
. The nonzero prime-powers
which occur are called the elementary divisors of
; they are defined only up to associates. One can recover the invariant factors from the elementary divisors (exercise), so it suffices to prove that the elementary divisors are unique up to reordering and multiplying by units. For this, one shows that if
is a nonzero prime element, we have
, where
is the number of elementary divisors
with
. It follows easily that for each
and
, the number of elementary divisors of the form
is uniquely determined by
.
For different proof, which works directly with the invariant factors without first converting to elementary divisors, see my next blog post on Fitting ideals.
(4) An integral domain is called a Bézout domain if every finitely generated ideal is principal. It is an open question whether every matrix over a Bézout domain
is equivalent to a matrix in Smith Normal Form. (The ring of all algebraic integers is an example of a Bézout domain which is not a PID.)
(5) Two matrices
and
over a field
are similar over
if and only if the characteristic matrices
and
have the same Smith Normal Form over
. This is a well-known consequence of the structure theorem for finitely generated modules over a PID. Note that the minimal polynomial of
is equal to the largest invariant factor of
and the characteristic polynomial is the product of all the invariant factors of
.
(6) Richard Stanley has written this survey paper about applications of the Smith Normal Form to combinatorics, one of which concerns the Jacobian group (a.k.a. the critical group) of a graph.
(7) The Smith Normal Form is named for Henry John Stephen Smith (1826-1883), an Irish mathematician who also discovered a version of the Cantor set before Cantor did.

Dear Matt I agree that it’s hard to find a convenient reference for this. I spent a lot of time writing something for my â(Mostly) commutative algebraâ book that I would myself find reasonable. At the end, I gave many proofs… Best Antoine
⣖ Université de Paris â Diderot Institut de mathématiques de Jussieu Paris Rive Gauche Bâtiment Sophie Germain, 8 place Aurélie Nemours, 75205 Paris cedex 13
Envoyé depuis mon téléphone portable, pardonnez mon éventuelle brièvetéâ
Hi Antoine – Thanks for the comment! Believe it or not, despite the fact that you’re one of my favorite mathematical expositors I had never looked at your “(Mostly) commutative algebra” book until this morning. Looks terrific, thanks for the reference. Cheers, Matt
Pingback: Fitting ideals of modules | Matt Baker's Math Blog